機械密封彈流潤滑的計算
機械密封彈流潤滑的計算:
CARTEX機械密封當流體膜厚度h與粗糙度比(膜厚比)時,為全液膜的彈流潤滑。按照線接觸、點接觸等模型數值計算結果,可以得到液膜參數和壓力分布的關系。
目前較通用的有以下幾種公式:
(1)馬丁公式適用于輕載剛性接觸,彈性效應和黏性效應都很小的場合。

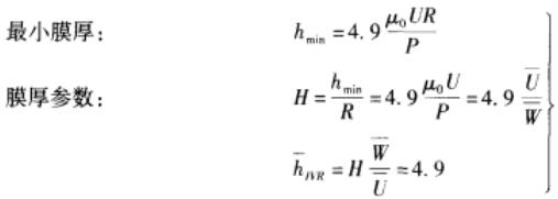
(2)布洛克公式適用于壓黏效砬遠遠大于彈性變形效應的場合。

(3)赫列布魯公式適用于彈性效應遠大于黏性效應的場合。

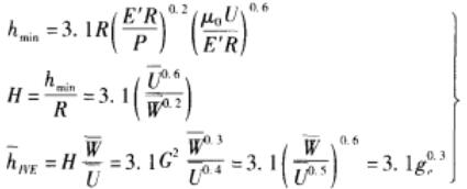
(4)道森公式適用于同時考慮彈性效應及壓黏效應的場合

以上各式中
為速度參數
為載荷參數。
本文源自http://www.jizhoujizhong.cn/news/450.html,轉載請注明出處。
(責任編輯:機械密封http://www.jizhoujizhong.cn)
上一篇:機械密封彈流油膜形狀及壓力分布 下一篇:機械密封的彈流潤滑區
- 上一篇:機械密封彈流油膜形狀及壓力分布
- 下一篇:機械密封的彈流潤滑區
機械密封熱門文章
機械密封文章推薦
最新資訊
- 2023-07-04· 機械密封的保養與維修方法:
- 2023-06-30· 機械密封的保養與維修方法
- 2023-06-29· 機械密封的運行原理及其特點
- 2023-06-29· 機械密封的密封材料與密封性
- 2023-06-28· 機械密封的安裝及維護方法
- 2023-06-26· 機械密封的密封原理及其應用
聯系我們
浙江生產基地:浙江嘉善環城東路硅谷開發區(赤盾科技園)
嘉興銷售及技術支持中心:嘉興市環北西路經濟開發區
國內24小時銷售人員電話:15990310020
國內24小時技術支持:13917573091
電子郵件:1050760236@qq.com
jxchishidun@163.com
即時聊天工具:QQ: 1050760236
微信:15990310020
網址:www.jizhoujizhong.cn



